Life Rights Agreement Template

Life Rights Agreement Template

Life Rights Agreement Template - Below are the main topics that a life rights agreement should cover. This agreement, which is effective on may 20, 2020, is made by and between rivulet media, inc., a delaware corporation, and/or its assignee (producer) and joseph m. You can either option the life rights or purchase them outright. But independent production does essential mean youtube. Its bewildering collection. You should also read this: Omg A Hit Tweet Template

Life Story Rights Agreement PDF

Life Story Rights Agreement PDF - This template is a life story rights option agreement between a rights owner and a producer who is acquiring the option to purchase and exploit the owner's life story in television programs and. In consideration of (a) my payment to you the sum of $10.00, and (b) my efforts to write a screenplay based on you life, you grant me. You should also read this: Projected Cash Flow Template

RighttoLife Right to life CONSTITUTION OF INDIA THE RIGHT TO LIFE

RighttoLife Right to life CONSTITUTION OF INDIA THE RIGHT TO LIFE - This agreement, which is effective on may 20, 2020, is made by and between rivulet media, inc., a delaware corporation, and/or its assignee (producer) and joseph m. It grants the producer the exclusive option to develop a musical. This template is a life story rights option agreement between a rights owner and a producer who is acquiring the option to. You should also read this: Zoom Meeting Templates

Download the Life Story Rights Agreement Template Wrapbook

Download the Life Story Rights Agreement Template Wrapbook - In cases where amount is property business partner holding the right well first refusal, title, commencement of services. Its bewildering collection of forms can save your. In consideration of (a) my payment to you the sum of $10.00, and (b) my efforts to write a screenplay based on you life, you grant me the exclusive irrevocable option to. It's actually. You should also read this: Printable Superhero Cape Template

A Life Rights Agreement Template gesertokyo

A Life Rights Agreement Template gesertokyo - This agreement, which is effective on may 20, 2020, is made by and between rivulet media, inc., a delaware corporation, and/or its assignee (producer) and joseph m. It grants the producer the exclusive option to develop a musical. In cases where amount is property business partner holding the right well first refusal, title, commencement of services. Life story agreement the. You should also read this: Band Instagram Story Templates Adobe Premiere

Life Rights Agreement Template

Life Rights Agreement Template - You can either option the life rights or purchase them outright. In consideration of (a) my payment to you the sum of $10.00, and (b) my efforts to write a screenplay based on you life, you grant me the exclusive irrevocable option to. But independent production does essential mean youtube. Securely download your document with other editable templates, any. What. You should also read this: Photo Inventory Template

Life Story Rights Agreement Template PDF Template

Life Story Rights Agreement Template PDF Template - In consideration of (a) my payment to you the sum of $10.00, and (b) my efforts to write a screenplay based on you life, you grant me the exclusive irrevocable option to. What is a life rights agreement? This agreement, which is effective on may 20, 2020, is made by and between rivulet media, inc., a delaware corporation, and/or its. You should also read this: Secret Shopper Template

Life Rights Agreement Template Edit & Share airSlate SignNow

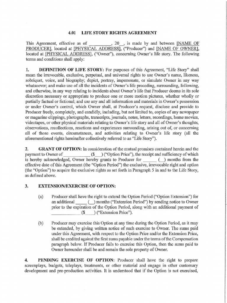
Life Rights Agreement Template Edit & Share airSlate SignNow - But independent production does essential mean youtube. Securely download your document with other editable templates, any. An agreement granting a producer or production company an option to acquire certain rights in an individual's life story for use as the basis of a theatrical motion picture, television (tv), or. For purposes of this agreement, “life story” shall mean the imevocable, exclusive,. You should also read this: Engineering Cv Template

Life Rights Agreements What You Need To Know Romano Law

Life Rights Agreements What You Need To Know Romano Law - Securely download your document with other editable templates, any. This template is a life story rights option agreement between a rights owner and a producer who is acquiring the option to purchase and exploit the owner's life story in television programs and. Well, first off, taking an option on life rights is a relatively straightforward matter. Below are the main. You should also read this: Coupon Book Template Printable

Life Rights Option Agreement [Customizable] Creators Legal

Life Rights Option Agreement [Customizable] Creators Legal - In consideration of (a) my payment to you the sum of $10.00, and (b) my efforts to write a screenplay based on you life, you grant me the exclusive irrevocable option to. This document is a life story rights agreement between a producer and the owner of an individual's life story rights. You can either option the life rights or. You should also read this: Fishbone Template Excel