Affidavit Of Loss Template

Affidavit Of Loss Template Word

Affidavit Of Loss Template Word - Writing an affidavit of loss involves creating a formal, sworn statement declaring the loss of an important document or item, such as a passport, identification card, sim card, or valuable. How to prepare an affidavit of loss. When everything is done, print atleast four (4) copies and the principal must acknowledge the same to the notary public. To make things. You should also read this: Kindergarten Self Portrait Template

Affidavit of Loss Template PDF Affidavit Legal Communication

Affidavit of Loss Template PDF Affidavit Legal Communication - To make things easier and save time, you can use our sample affidavit as a starting point. Collect all the necessary details about the lost. You were told you needed an affidavit of loss to obtain a replacement for your driver’s license, which you lost on your way home the other day. How to prepare an affidavit of loss. An. You should also read this: Create Email Template In New Outlook

Affidavit Of Loss Template Pdf

Affidavit Of Loss Template Pdf - It’s usually created to swear and affirm the loss of certain. An affidavit of loss is a written statement that describes the facts concerning the loss of an object, usually a document such as an. You were told you needed an affidavit of loss to obtain a replacement for your driver’s license, which you lost on your way home the. You should also read this: Disney Invitations Templates Free

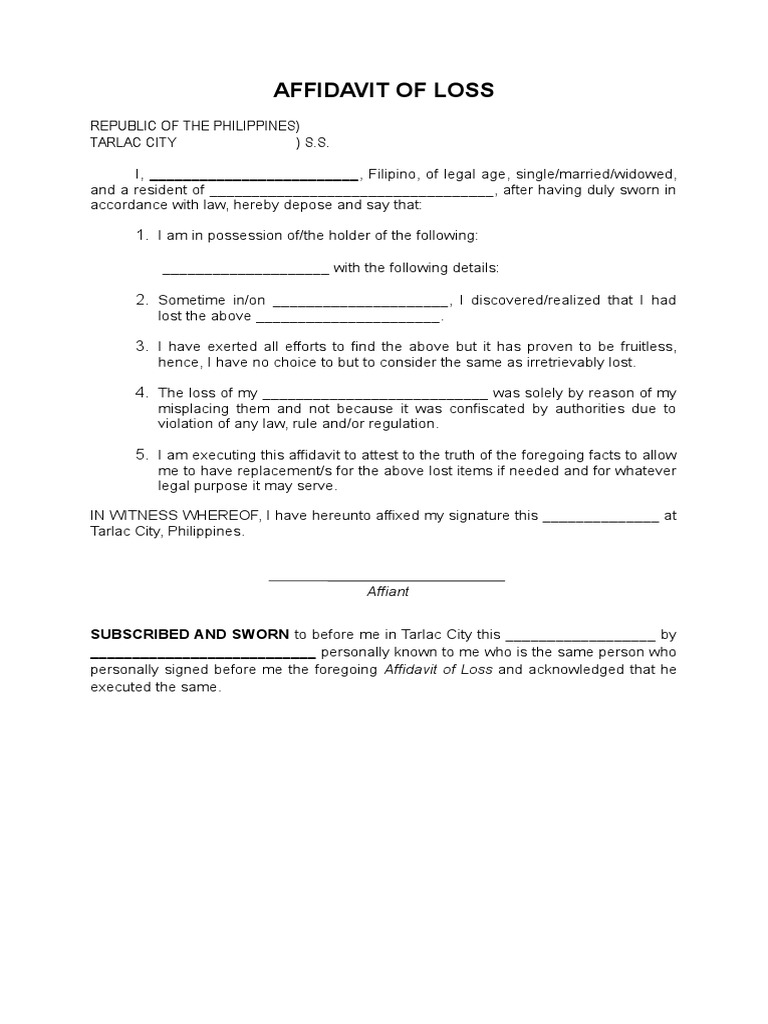
Affidavit of Loss Template PDF

Affidavit of Loss Template PDF - An affidavit of loss is a legal document that contains statements of facts about the loss of an object or a personal belonging. Just copy or download our free template and modify it to suit your needs. The affidavit of loss letter is a versatile and essential document available for download in ms word, google docs, and apple pages formats.. You should also read this: Flower Pumpkin Carving Templates

Affidavit of Loss 16 Free Templates in PDF, Word, Excel Download

Affidavit of Loss 16 Free Templates in PDF, Word, Excel Download - Here is a downloadable free sample of an affidavit of loss: You were told you needed an affidavit of loss to obtain a replacement for your driver’s license, which you lost on your way home the other day. Collect all the necessary details about the lost. When everything is done, print atleast four (4) copies and the principal must acknowledge. You should also read this: Free Okr Template

Affidavit Of Loss Template HQ Printable Documents

Affidavit Of Loss Template HQ Printable Documents - What is an affidavit of loss? An affidavit of loss is a legal document that contains statements of facts about the loss of an object or a personal belonging. You were told you needed an affidavit of loss to obtain a replacement for your driver’s license, which you lost on your way home the other day. Just copy or download. You should also read this: Free Printable Small Apple Template

FREE 16+ Affidavit of Loss Samples & Templates in PDF

FREE 16+ Affidavit of Loss Samples & Templates in PDF - Collect all the necessary details about the lost. Here is a downloadable free sample of an affidavit of loss: Writing an affidavit of loss involves creating a formal, sworn statement declaring the loss of an important document or item, such as a passport, identification card, sim card, or valuable. To make things easier and save time, you can use our. You should also read this: Gaming Templates

Affidavit Of Loss Fillable Form Printable Forms Free Online

Affidavit Of Loss Fillable Form Printable Forms Free Online - This editable affidavit template simplifies the. It’s usually created to swear and affirm the loss of certain. When everything is done, print atleast four (4) copies and the principal must acknowledge the same to the notary public. What is an affidavit of loss? Writing an affidavit of loss involves creating a formal, sworn statement declaring the loss of an important. You should also read this: Fill In Blank Christmas Lists Template

Affidavit Of Loss Template

Affidavit Of Loss Template - What is an affidavit of loss? To make things easier and save time, you can use our sample affidavit as a starting point. This editable affidavit template simplifies the. Writing an affidavit of loss involves creating a formal, sworn statement declaring the loss of an important document or item, such as a passport, identification card, sim card, or valuable. An. You should also read this: Batwing Template

FREE 16+ Affidavit of Loss Samples & Templates in PDF

FREE 16+ Affidavit of Loss Samples & Templates in PDF - You wonder, can you draft an affidavit of. What is an affidavit of loss? An affidavit of loss is a written statement that describes the facts concerning the loss of an object, usually a document such as an. The affidavit of loss letter is a versatile and essential document available for download in ms word, google docs, and apple pages. You should also read this: Trifold Poster Board Template